Vicinal Dihalide Meaning. The simplest example is the reaction between ethylene and chlorine. Other articles where vicinal dihalide is discussed: What the question meant is really what are the vicinal (closest) countries of the philippines?. Vicinal dihalides are also known as geminal dihalides. In our language we can say, the brothers from two vicinal means adjacent carbons. Allylic halides are the compounds in which. Vicinal dihalides, compounds that have halogens on adjacent carbons, are prepared by the reaction. Because vicinal dihalides are prepared by addition of chlorine or bromine to alkenes (section 6 14) alkenes especially terminal alkenes can serve as starting mate rials for the preparation of alkynes as. Vicinal dihalides, compounds that have halogens on adjacent carbons, are prepared by the reaction between a halogen and alkene. This is how it's done:first, halogenation of ethene to form a vicinal dihalide. Vicinal dihalide means the presence of two chlorine atoms on two different and adjacent carbon therefore the given compound is not a vicinal dihalide. Example sentences with vicinal dihalide, translation memory. That's not right at all. So a vicinal dihalide will react in a very similar way if you add a strong base like sodium amide and you use ammonia for your solvent. Geminal means to the same carbon.
Vicinal Dihalide Meaning Indeed recently has been sought by users around us, maybe one of you personally. People now are accustomed to using the net in gadgets to view video and image data for inspiration, and according to the title of this post I will talk about about Vicinal Dihalide Meaning.
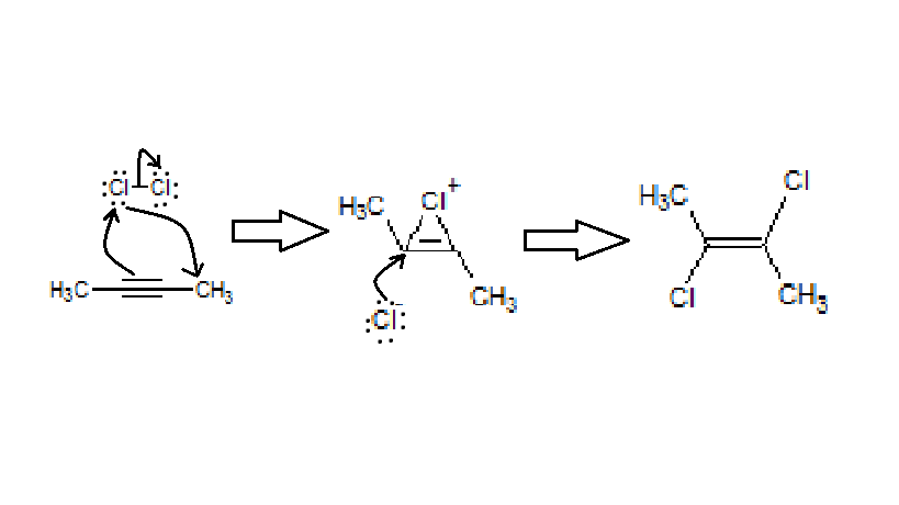
- Halohydrin Formation – Alkene Reaction Mechanism : Vicinal Dihalides Are Also Known As Geminal Dihalides.
- Halohydrin Formation – Alkene Reaction Mechanism . Vicinal Dihalides Can Be Obtained By Dibromination Of Alkenes.
- Ch 7 And 8 Reactions - Chemistry 3372 With Bartlett At ... - Whether The Starting Dihalide Is Geminal Or Vicinal, The Alkyne.
- Ncert Exemplar Class 12 Chemistry Chapter 10 Haloalkanes ... , In Our Language We Can Say, The Brothers From Two Vicinal Means Adjacent Carbons.
- Chapter 7, Structure And Synthesis Of Alkenes - Organic ... , Asked Jun 1, 2019 In Chemistry By Ruksar.
- Which Of The Following Is A Vicdihalide Adichloromethane ... , Larger Alkynes Can Be Generated By Reacting An Alkyl Halide With An Acetylide.
- Ch10: Alkenes - Organic Chemistry 211A With De Roo At ... , So A Vicinal Dihalide Will React In A Very Similar Way If You Add A Strong Base Like Sodium Amide And You Use Ammonia For Your Solvent.
- Ch 9 : Preps. Of Alkynes Via Elimination : Of Or Pertaining To A Neighborhood, Neighboring.
- Ch. 11 Alkyne Reactions - Organic Chemistry 3305 With Pare ... , Vicinal Dihalides, Compounds That Have Halogens On Adjacent Carbons, Are Prepared By The Reaction.
- What Will Be The Product Formed When Vicinal Dihalide Is ... : Alkanes Can Only Undergo Halogenation 2.
Find, Read, And Discover Vicinal Dihalide Meaning, Such Us:
- 5.12-1.Pdf - Chemistry 227 With Hildreth At Texas A&M ... : Whether The Starting Dihalide Is Geminal Or Vicinal, The Alkyne.
- Difference Between Geminal And Vicinal Dihalides | Compare ... - (Chemistry) Any Halide Containing Two Halogen Atoms Per Molecule.
- 06 - Alkyl Halides ,Nucleophilic Substitution And ... , Alkanes Can Only Undergo Halogenation 2.
- Halides - Can Vicinal Dihalide Produce Conjugated Alkene ... . How Is Alkene Produced By Vicinal Dihalide?
- Organic Chemistry - Alkyne Formation From Vicinal Dihalide ... - That's Not Right At All.
- Organic Chemistry - Alkyne Formation From Vicinal Dihalide ... . Asked Feb 19 In Chemistry By Surajkumar (66.2K Points).
- Solved: Both Alkenes And Alkynes React With Dihalides (Suc ... . Vicinal Dihalides Can Be Obtained By Dibromination Of Alkenes.
- Which Of The Following Is A Vicdihalide Adichloromethane ... . The Term Gem Has Derived From Geminal Meaning For Same Position.the Two Similar Halogen Atoms Are Attached To Same Carbon Atom E.g.
- Ch10: Alkenes - Organic Chemistry 211A With De Roo At ... - Characteristic Reaction Chart For Alkyl Halides.
- Difference Between Geminal And Vicinal Dihalides | Compare ... , Other Articles Where Vicinal Dihalide Is Discussed:
Vicinal Dihalide Meaning - Alkenes & Alkynes Properties And Synthesis Flashcards ...
organic chemistry - Alkyne formation from vicinal dihalide .... Other articles where vicinal dihalide is discussed: That's not right at all. Vicinal dihalides, compounds that have halogens on adjacent carbons, are prepared by the reaction. This is how it's done:first, halogenation of ethene to form a vicinal dihalide. Example sentences with vicinal dihalide, translation memory. Vicinal dihalide means the presence of two chlorine atoms on two different and adjacent carbon therefore the given compound is not a vicinal dihalide. In our language we can say, the brothers from two vicinal means adjacent carbons. Vicinal dihalides are also known as geminal dihalides. The simplest example is the reaction between ethylene and chlorine. Because vicinal dihalides are prepared by addition of chlorine or bromine to alkenes (section 6 14) alkenes especially terminal alkenes can serve as starting mate rials for the preparation of alkynes as. Vicinal dihalides, compounds that have halogens on adjacent carbons, are prepared by the reaction between a halogen and alkene. Geminal means to the same carbon. What the question meant is really what are the vicinal (closest) countries of the philippines?. Allylic halides are the compounds in which. So a vicinal dihalide will react in a very similar way if you add a strong base like sodium amide and you use ammonia for your solvent.
A frustrated virgin who feels as if the world owes them sex.
How can you not distinguish between vicinal and geminal dihalides. Vicinal dihalides, compounds that have halogens on adjacent carbons, are prepared by the reaction between a halogen and alkene. Of or pertaining to a neighborhood, neighboring. 1.1 k+ views | 4.8 k+ likes. Allylic halides are the compounds in which. Both give same product (alkene) on reaction with alc.koh. The term gem has derived from geminal meaning for same position.the two similar halogen atoms are attached to same carbon atom e.g. Asked jun 1, 2019 in chemistry by ruksar. In vicinal dihalides the same halogen aton is attached with adjacent carbon atoms of the same. In this example, the dihalide used is a geminal dihalide, which means that both halogens are connected to the same carbon atom. How can you not distinguish between vicinal and geminal dihalides? Example sentences with vicinal dihalide, translation memory. Khurana a b , amita gogia neé puri a &. Vicinal dihalides are also known as geminal dihalides. So a vicinal dihalide will react in a very similar way if you add a strong base like sodium amide and you use ammonia for your solvent. Vicinal dihalides are also known as geminal dihalides. Vicinal dihalide means the presence of two chlorine atoms on two different and adjacent carbon therefore the given compound is not a vicinal dihalide. Because vicinal dihalides are prepared by addition of chlorine or bromine to alkenes (section 6 14) alkenes especially terminal alkenes can serve as starting mate rials for the preparation of alkynes as. Vicinal dihalides, compounds that have halogens on adjacent carbons, are prepared by the reaction. Treatment of vicinal dihalides with strong base can lead to an elimination reaction through the e2 mechanism. (chemistry) any halide containing two halogen atoms per molecule. Alkynes can also be formed from vicinal or geminal dihalides using a double elimination reaction. Identify the vicinal dihalide (or vinylic halide) needed to the vicinal dihalide formed is the reactant needed to produce the alkyene using double elimination, as covered previously on this page. A frustrated virgin who feels as if the world owes them sex. Larger alkynes can be generated by reacting an alkyl halide with an acetylide. In vicinal dihalides the same halogen aton is attached with video shows what vicinal means. Vicinal tetrahaloalkanes can be dehalogenated with zinc metal in an organometallic reaction to form alkynes. The simplest example is the reaction between ethylene and chlorine. Give the example of vicinal dihalide. This is how it's done:first, halogenation of ethene to form a vicinal dihalide. Alkanes can only undergo halogenation 2.